ФотабусАўтобусны транспарт

Iнфармацыя аб малюнку

639 КБ


Ідэнтыфікатар малюнка:3031101
Памер файла:639 КБ
Аўтар:Rai
Апублікавана:28.03.2023 22:04 MSK
Знаходзіцца на сайце, дзён:1045
Унікальных праглядаў:194
Каментарыяў:0

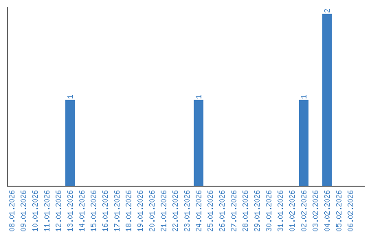
Дынаміка праглядаў па датах