ФотобусАвтобустар галереясы

Информация об изображении

584 КБ


Идентификатор изображения:3031015
Размер файла:584 КБ
Автор:sSnaiperis
Опубликовано:28.03.2023 19:01 MSK
Находится на сайте, дней:1071
Уникальных просмотров:578
Комментариев:0

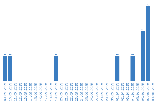
Динамика просмотров по датам