ФотобусАвтобусный транспорт

Информация об изображении

692 КБ


Идентификатор изображения:3027460
Размер файла:692 КБ
Автор:Илья С.
Опубликовано:20.03.2023 21:44 MSK
Находится на сайте, дней:1099
Уникальных просмотров:335
Комментариев:0

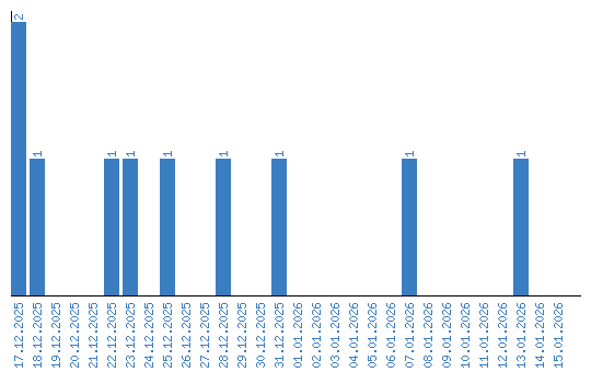
Динамика просмотров по датам