ФотобусАвтобусный транспорт

Информация об изображении

498 КБ


Идентификатор изображения:3027066
Размер файла:498 КБ
Автор:mixkol
Опубликовано:20.03.2023 00:01 MSK
Находится на сайте, дней:1045
Уникальных просмотров:272
Комментариев:0

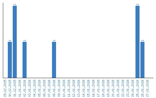
Динамика просмотров по датам