FotobusAutobusų transportas

Nuotraukos informacija

531 KB


Nuotraukos identifikatorius:3026591
Bylos dydis:531 KB
Autorius:Илья С.
Publikuota:19.03.2023 07:28 MSK
Yra tinklapyje dienų:965
Unikalių peržiūrų:164
Komentarų:0

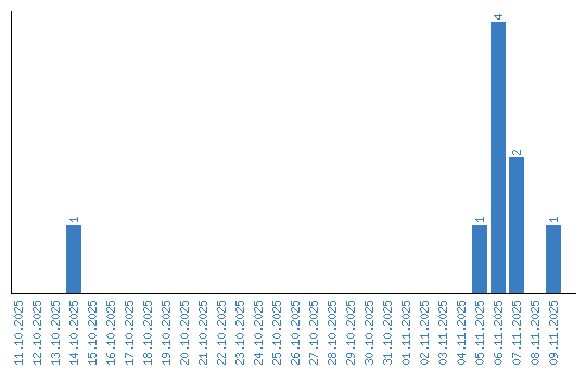
Peržiūrų dinamika pagal dienas