ФотабусАўтобусны транспарт

Iнфармацыя аб малюнку

197 КБ


Ідэнтыфікатар малюнка:302590
Памер файла:197 КБ
Аўтар:A G
Апублікавана:26.07.2010 09:52 MSK
Знаходзіцца на сайце, дзён:5691
Унікальных праглядаў:428
Каментарыяў:0

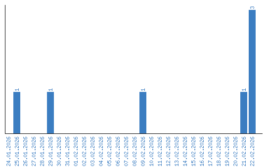
Дынаміка праглядаў па датах