ФотабусАўтобусны транспарт

Iнфармацыя аб малюнку

249 КБ


Ідэнтыфікатар малюнка:3022122
Памер файла:249 КБ
Аўтар:olegp
Апублікавана:09.03.2023 21:06 MSK
Знаходзіцца на сайце, дзён:954
Унікальных праглядаў:289
Каментарыяў:0

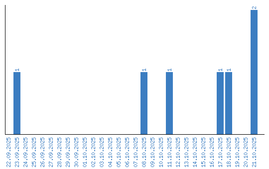
Дынаміка праглядаў па датах