FotobusΜεταφορά με λεωφορείο

Picture Statistics

633 KB


Picture ID:3020165
File Size:633 KB
Συγγραφέας:sspap
Publication Date:05.03.2023 11:16 MSK
Days in Database:1018
Unique views:385
Comments:0

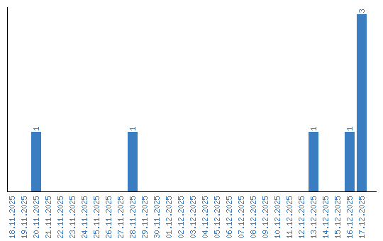
Viewing statistics by date