FotobusΜεταφορά με λεωφορείο

Picture Statistics

501 KB


Picture ID:3017053
File Size:501 KB
Συγγραφέας:Дмитрий Владыкин
Publication Date:26.02.2023 10:16 MSK
Days in Database:976
Unique views:219
Comments:0

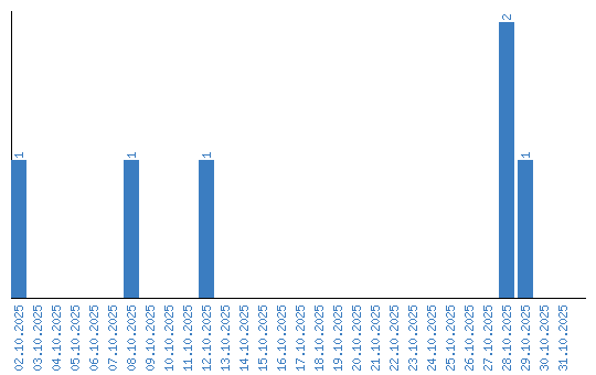
Viewing statistics by date