FotobusAutobusų transportas

Nuotraukos informacija

181 KB


Nuotraukos identifikatorius:3016133
Bylos dydis:181 KB
Autorius:ariss_ka
Publikuota:24.02.2023 17:25 MSK
Yra tinklapyje dienų:1120
Unikalių peržiūrų:395
Komentarų:0

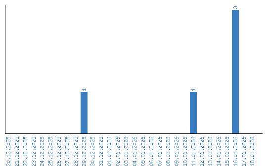
Peržiūrų dinamika pagal dienas