FotobusAutobusų transportas

Nuotraukos informacija

319 KB


Nuotraukos identifikatorius:3011421
Bylos dydis:319 KB
Autorius:Domcol10
Publikuota:15.02.2023 19:23 MSK
Yra tinklapyje dienų:1152
Unikalių peržiūrų:608
Komentarų:0

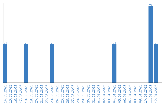
Peržiūrų dinamika pagal dienas