ФотобусАвтобусный транспорт

Информация об изображении

464 КБ


Идентификатор изображения:3005120
Размер файла:464 КБ
Автор:Maxim_MMM
Опубликовано:02.02.2023 19:49 MSK
Находится на сайте, дней:1146
Уникальных просмотров:481
Комментариев:0

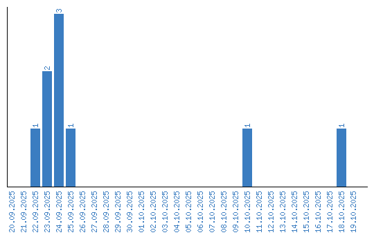
Динамика просмотров по датам