ФотобусАвтобусный транспорт

Информация об изображении

532 КБ


Идентификатор изображения:3004735
Размер файла:532 КБ
Автор:Fox134976
Опубликовано:01.02.2023 22:45 MSK
Находится на сайте, дней:1170
Уникальных просмотров:310
Комментариев:0

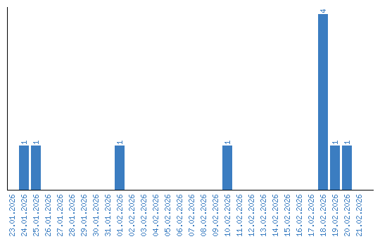
Динамика просмотров по датам