ФотабусАўтобусны транспарт

Iнфармацыя аб малюнку

697 КБ


Ідэнтыфікатар малюнка:2998378
Памер файла:697 КБ
Аўтар:Zafhus
Апублікавана:17.01.2023 12:46 MSK
Знаходзіцца на сайце, дзён:1131
Унікальных праглядаў:214
Каментарыяў:0

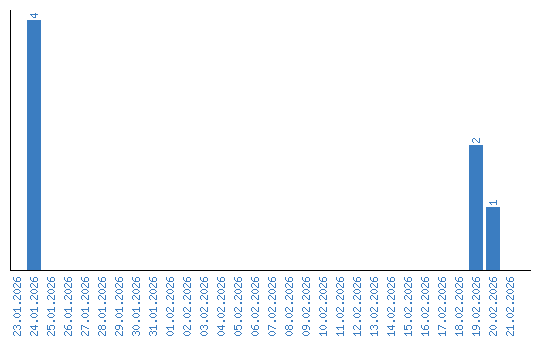
Дынаміка праглядаў па датах