ФотобусАвтобусный транспорт

Информация об изображении

511 КБ


Идентификатор изображения:2991815
Размер файла:511 КБ
Автор:Block
Опубликовано:02.01.2023 21:41 MSK
Находится на сайте, дней:1235
Уникальных просмотров:448
Комментариев:0

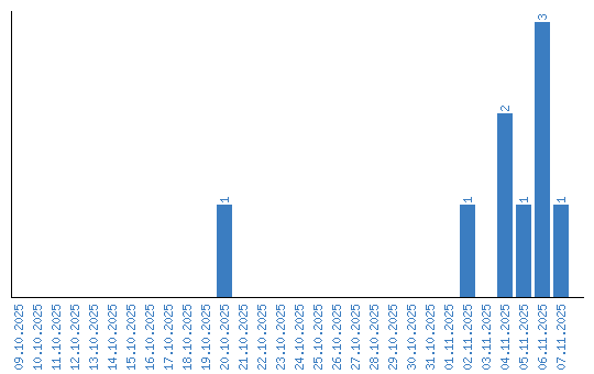
Динамика просмотров по датам