ФотобусАвтобусный транспорт

Информация об изображении

382 КБ


Идентификатор изображения:2985604
Размер файла:382 КБ
Автор:с.чекалкин
Опубликовано:20.12.2022 20:07 MSK
Находится на сайте, дней:1205
Уникальных просмотров:239
Комментариев:0

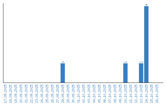
Динамика просмотров по датам