ФотобусАвтобусний транспорт

Статистика по зображенню

613 КБ


Ідентифікатор зображення:2973249
Розмір файлу:613 КБ
Автор:Ян Мухтаров
Опубліковано:21.11.2022 05:49 MSK
Знаходиться на сайті, днів:1053
Унікальних переглядів:232
Коментарів:0

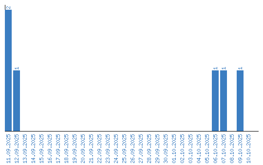
Динаміка переглядів за датами