FotobusBusverkehr

Bildinformationen

598 KB


Foto-ID:2971349
Dateigröße:598 KB
Aufgenommen von:reshz
Veröffentlicht am:16.11.2022 23:00 MSK
Tage seit Veröffentlichung:1190
Aufrufe:283
Kommentare:0

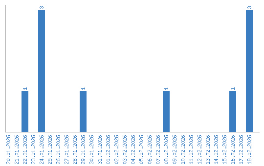
Aufrufestatistik (Tage)