ФотобусАвтобусный транспорт

Информация об изображении

307 КБ


Идентификатор изображения:2965811
Размер файла:307 КБ
Автор:43RUS
Опубликовано:05.11.2022 20:27 MSK
Находится на сайте, дней:1238
Уникальных просмотров:315
Комментариев:0

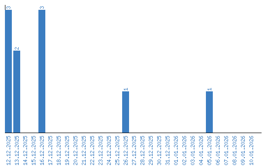
Динамика просмотров по датам