ФотабусАўтобусны транспарт

Iнфармацыя аб малюнку

658 КБ


Ідэнтыфікатар малюнка:2960722
Памер файла:658 КБ
Аўтар:Daniar Safiułlin
Апублікавана:28.10.2022 18:57 MSK
Знаходзіцца на сайце, дзён:1205
Унікальных праглядаў:264
Каментарыяў:0

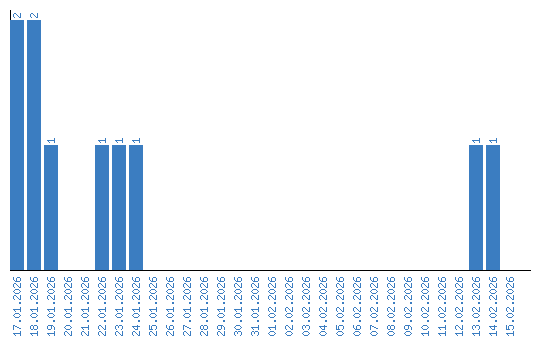
Дынаміка праглядаў па датах