ФотобусАвтобусный транспорт

Информация об изображении

540 КБ


Идентификатор изображения:2959371
Размер файла:540 КБ
Автор:Valius Kedainietis
Опубликовано:25.10.2022 08:22 MSK
Находится на сайте, дней:1119
Уникальных просмотров:312
Комментариев:0

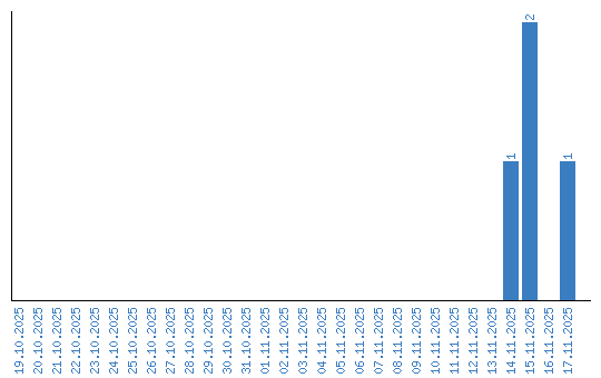
Динамика просмотров по датам