FotobusΜεταφορά με λεωφορείο

Picture Statistics

240 KB


Picture ID:295914
File Size:240 KB
Συγγραφέας:Иванов Олег
Publication Date:11.07.2010 21:59 MSK
Days in Database:5607
Unique views:251
Comments:0

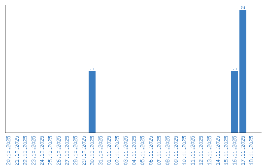
Viewing statistics by date