ФотобусАвтобусный транспорт

Информация об изображении

571 КБ


Идентификатор изображения:2955973
Размер файла:571 КБ
Автор:FomVik-Gyl233
Опубликовано:17.10.2022 11:02 MSK
Находится на сайте, дней:1248
Уникальных просмотров:746
Комментариев:1

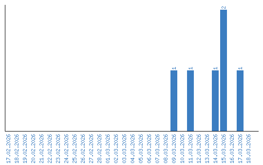
Динамика просмотров по датам