ФотобусАвтобусный транспорт

Информация об изображении

511 КБ


Идентификатор изображения:2954121
Размер файла:511 КБ
Автор:ESDI
Опубликовано:13.10.2022 22:20 MSK
Находится на сайте, дней:1273
Уникальных просмотров:229
Комментариев:0

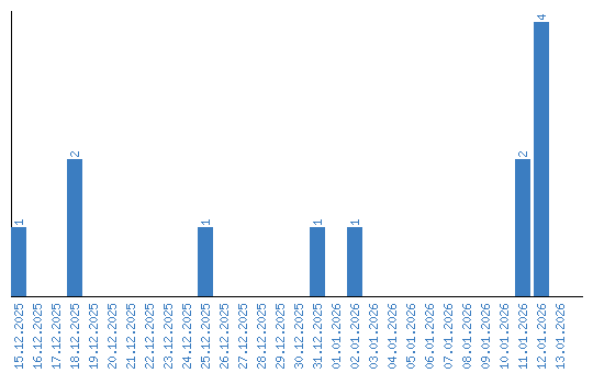
Динамика просмотров по датам