ФотобусАвтобусный транспорт

Информация об изображении

200 КБ


Идентификатор изображения:294268
Размер файла:200 КБ
Автор:yR29ik
Опубликовано:08.07.2010 19:07 MSK
Находится на сайте, дней:5582
Уникальных просмотров:232
Комментариев:0

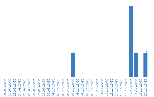
Динамика просмотров по датам