ФотобусАвтобусный транспорт

Информация об изображении

623 КБ


Идентификатор изображения:2936978
Размер файла:623 КБ
Автор:Dj Zlo
Опубликовано:09.09.2022 20:28 MSK
Находится на сайте, дней:1338
Уникальных просмотров:353
Комментариев:0

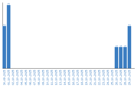
Динамика просмотров по датам