ФотобусАвтобусный транспорт

Информация об изображении

367 КБ


Идентификатор изображения:2934056
Размер файла:367 КБ
Автор:43RUS
Опубликовано:03.09.2022 21:48 MSK
Находится на сайте, дней:1177
Уникальных просмотров:272
Комментариев:0

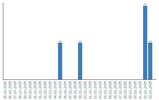
Динамика просмотров по датам