ФотобусАвтобусный транспорт

Информация об изображении

533 КБ


Идентификатор изображения:2933542
Размер файла:533 КБ
Автор:Vilnius Transportas
Опубликовано:02.09.2022 23:15 MSK
Находится на сайте, дней:1125
Уникальных просмотров:509
Комментариев:0

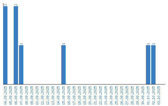
Динамика просмотров по датам