ФотобусАвтобусный транспорт

Информация об изображении

223 КБ


Идентификатор изображения:2928847
Размер файла:223 КБ
Автор:01-06
Опубликовано:25.08.2022 13:06 MSK
Находится на сайте, дней:1274
Уникальных просмотров:339
Комментариев:0

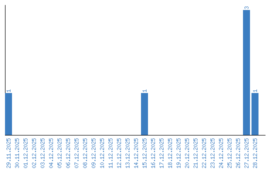
Динамика просмотров по датам