FotobusBusverkehr

Bildinformationen

276 KB


Foto-ID:2928732
Dateigröße:276 KB
Aufgenommen von:BOSS
Veröffentlicht am:25.08.2022 07:22 MSK
Tage seit Veröffentlichung:1306
Aufrufe:163
Kommentare:0

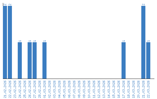
Aufrufestatistik (Tage)