ФотобусАвтобусный транспорт

Информация об изображении

624 КБ


Идентификатор изображения:2927662
Размер файла:624 КБ
Автор:Кривич Илья
Опубликовано:23.08.2022 17:06 MSK
Находится на сайте, дней:1173
Уникальных просмотров:272
Комментариев:0

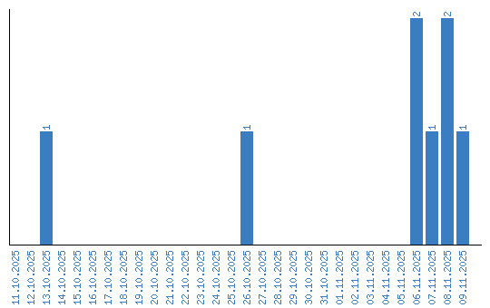
Динамика просмотров по датам