FotobusBusverkehr

Bildinformationen

683 KB


Foto-ID:2924729
Dateigröße:683 KB
Aufgenommen von:Nikola2000
Veröffentlicht am:18.08.2022 15:44 MSK
Tage seit Veröffentlichung:1306
Aufrufe:313
Kommentare:0

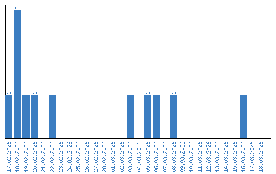
Aufrufestatistik (Tage)