ФотабусАўтобусны транспарт

Iнфармацыя аб малюнку

625 КБ


Ідэнтыфікатар малюнка:2919439
Памер файла:625 КБ
Аўтар:Maksimus
Апублікавана:08.08.2022 20:59 MSK
Знаходзіцца на сайце, дзён:1322
Унікальных праглядаў:490
Каментарыяў:0

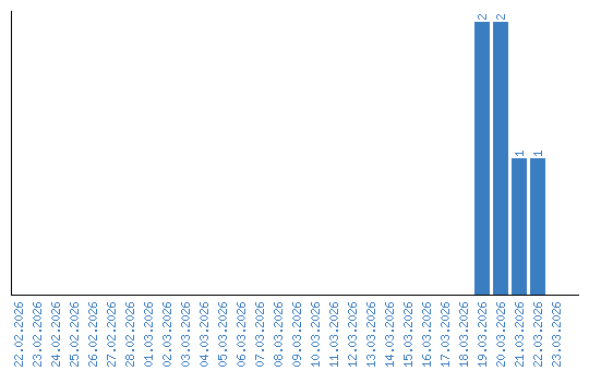
Дынаміка праглядаў па датах