ФотобусАвтобусний транспорт

Статистика по зображенню

288 КБ


Ідентифікатор зображення:2913130
Розмір файлу:288 КБ
Автор:olegp
Опубліковано:30.07.2022 15:26 MSK
Знаходиться на сайті, днів:1196
Унікальних переглядів:267
Коментарів:0

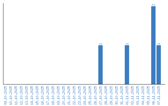
Динаміка переглядів за датами