FotobusΜεταφορά με λεωφορείο

Picture Statistics

696 KB


Picture ID:2911962
File Size:696 KB
Συγγραφέας:sspap
Publication Date:28.07.2022 05:47 MSK
Days in Database:1240
Unique views:435
Comments:0

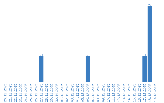
Viewing statistics by date