ФотобусАвтобусный транспорт

Информация об изображении

679 КБ


Идентификатор изображения:2909318
Размер файла:679 КБ
Автор:Владислав Захаров
Опубликовано:23.07.2022 16:16 MSK
Находится на сайте, дней:1271
Уникальных просмотров:336
Комментариев:0

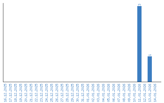
Динамика просмотров по датам