FotobusAutobusų transportas

Nuotraukos informacija

334 KB


Nuotraukos identifikatorius:2897928
Bylos dydis:334 KB
Autorius:43RUS
Publikuota:04.07.2022 22:14 MSK
Yra tinklapyje dienų:1357
Unikalių peržiūrų:300
Komentarų:0

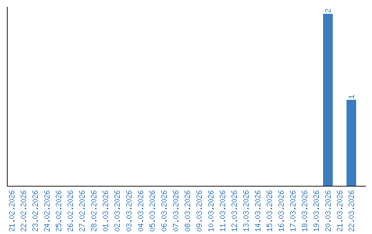
Peržiūrų dinamika pagal dienas