FotobusAutobusa transports

Informācija par attēli

693 KB


Attēla identifikātors:2895001
Faila lielums:693 KB
Autors:Bus in Ukraine
Ir publicēts:30.06.2022 14:37 MSK
Atrodas vietnē, dienās:1249
Unikāli skatījumi:152
Komentārus:0

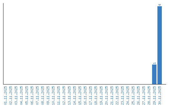
Dinamika skatišana pēc datuma