ФотабусАўтобусны транспарт

Iнфармацыя аб малюнку

172 КБ


Ідэнтыфікатар малюнка:289442
Памер файла:172 КБ
Аўтар:Routemaster
Апублікавана:28.06.2010 23:19 MSK
Знаходзіцца на сайце, дзён:5738
Унікальных праглядаў:217
Каментарыяў:0

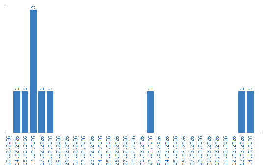
Дынаміка праглядаў па датах