FotobusΜεταφορά με λεωφορείο

Picture Statistics

501 KB


Picture ID:2883693
File Size:501 KB
Συγγραφέας:Maxim Dmitriev
Publication Date:12.06.2022 17:20 MSK
Days in Database:1251
Unique views:319
Comments:0

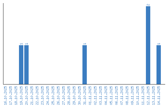
Viewing statistics by date