ФотобусАвтобусный транспорт

Информация об изображении

204 КБ


Идентификатор изображения:288075
Размер файла:204 КБ
Автор:aRa
Опубликовано:26.06.2010 17:30 MSK
Находится на сайте, дней:5666
Уникальных просмотров:670
Комментариев:1

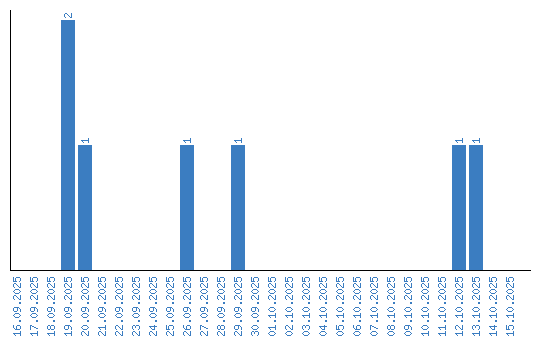
Динамика просмотров по датам