ФотобусАвтобусный транспорт

Информация об изображении

534 КБ


Идентификатор изображения:2877076
Размер файла:534 КБ
Автор:Евгений Буюкли
Опубликовано:02.06.2022 17:02 MSK
Находится на сайте, дней:1385
Уникальных просмотров:308
Комментариев:0

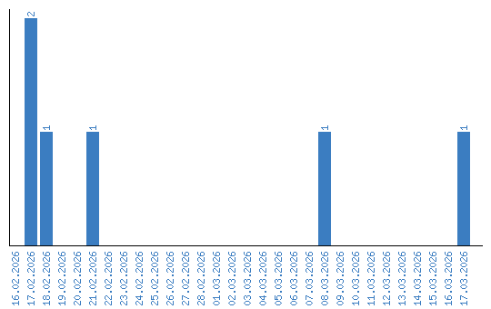
Динамика просмотров по датам