ФотобусАвтобусный транспорт

Информация об изображении

562 КБ


Идентификатор изображения:2874068
Размер файла:562 КБ
Автор:David K
Опубликовано:28.05.2022 11:08 MSK
Находится на сайте, дней:1444
Уникальных просмотров:490
Комментариев:4

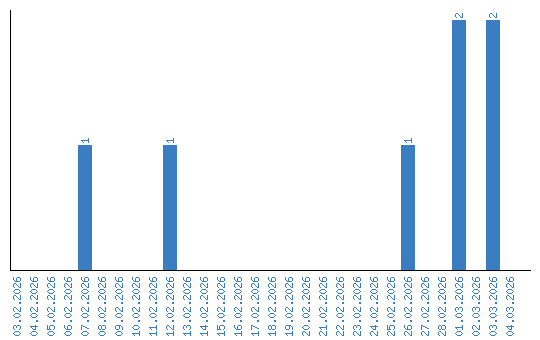
Динамика просмотров по датам