ФотобусАвтобусный транспорт

Информация об изображении

469 КБ


Идентификатор изображения:2869230
Размер файла:469 КБ
Автор:Владислав Захаров
Опубликовано:20.05.2022 20:08 MSK
Находится на сайте, дней:1415
Уникальных просмотров:214
Комментариев:0

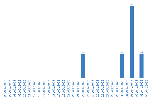
Динамика просмотров по датам