ФотобусАвтобусный транспорт

Информация об изображении

501 КБ


Идентификатор изображения:2853246
Размер файла:501 КБ
Автор:Valius Kedainietis
Опубликовано:27.04.2022 21:15 MSK
Находится на сайте, дней:1410
Уникальных просмотров:346
Комментариев:0

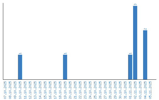
Динамика просмотров по датам