ФотобусАвтобустар галереясы

Информация об изображении

217 КБ


Идентификатор изображения:282504
Размер файла:217 КБ
Автор:A G
Опубликовано:14.06.2010 23:34 MSK
Находится на сайте, дней:5598
Уникальных просмотров:414
Комментариев:0

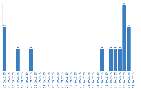
Динамика просмотров по датам