ФотобусАвтобусный транспорт

Информация об изображении

488 КБ


Идентификатор изображения:2819641
Размер файла:488 КБ
Автор:Slak2016
Опубликовано:23.02.2022 09:23 MSK
Находится на сайте, дней:1474
Уникальных просмотров:561
Комментариев:0

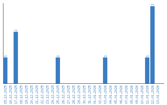
Динамика просмотров по датам