FotobusBusverkehr

Bildinformationen

403 KB


Foto-ID:2818135
Dateigröße:403 KB
Aufgenommen von:hotimsk
Veröffentlicht am:20.02.2022 20:56 MSK
Tage seit Veröffentlichung:1451
Aufrufe:483
Kommentare:0

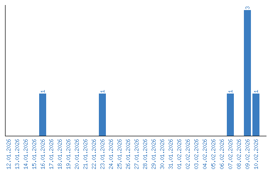
Aufrufestatistik (Tage)