ФотобусАвтобусный транспорт

Информация об изображении

553 КБ


Идентификатор изображения:2808209
Размер файла:553 КБ
Автор:monochrome
Опубликовано:05.02.2022 13:40 MSK
Находится на сайте, дней:1510
Уникальных просмотров:329
Комментариев:0

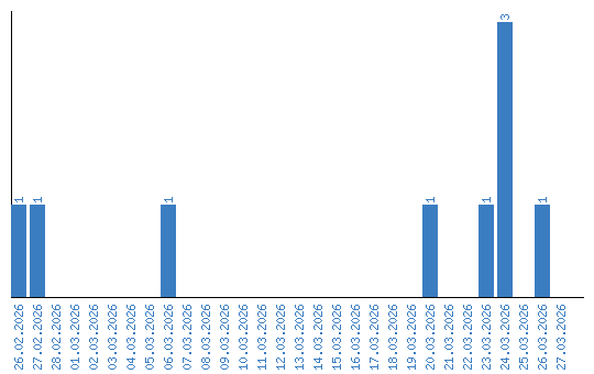
Динамика просмотров по датам