FotobusAutobusų transportas

Nuotraukos informacija

667 KB


Nuotraukos identifikatorius:2803160
Bylos dydis:667 KB
Autorius:Ваныч
Publikuota:28.01.2022 17:12 MSK
Yra tinklapyje dienų:1492
Unikalių peržiūrų:653
Komentarų:0

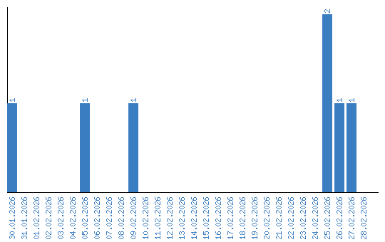
Peržiūrų dinamika pagal dienas